
Planeten Venus är ofta kallad morgonstjärna eller aftonstjärna. Dess bana kring solen ligger innanför jordens. När natten är som mörkast är vi vända rakt bort från solen – och i och med det – från Venus. Det gör att vi kan se Venus, beroende på hur planeten är placerad i sin bana, just innan solen går upp eller strax efter solnedgången.
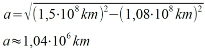
Radien på Venus’ bana kring solen är kring 108 miljoner kilometer. Jordens banradie är 150 miljoner kilometer. När Venus (från jorden) syns längst bort från solen ser vi planeten till hälften upplyst av solen. Skulle man då stå på Venus skulle det vara nittio grader mellan siktlinjen mot solen och linjen mot jorden. Lite trigonometri ger vid handen att vinkeln vi från jorden ser mellan linjen mot solen och den mot Venus inte kan överstiga 46 grader. Pythagoras berättar i samma situation att avståndet mellan Venus och jorden är 104 miljoner kilometer – vilket på intet sätt är ett längsta avstånd. (Varför?).
Den 25:e oktober i år kommer de två ljusstarkaste objekten, näst solen och månen, att synas alldeles intill varandra på morgonhimlen. Venus är det klart starkast lysande objektet vi ser på morgonhimlen nu trots att planeten från oss sett bara är upplyst till hälften. Det objekt som kommer in som god tvåa i ljusstyrka är solsystemets största planet, Jupiter. Den ser vi nu nästan helt upplyst av solen men avståndet till Jupiter är så pass mycket längre än till Venus att Venus’ skenbara ljusstyrka är högre.
Är det mulet på morgonen den 25:e är det ingen panik. Planeterna rör sig inte särskillt fort i förhållande till varandra på morgonhimlen. Den 27:e är också Mars med i leken. Då syns de tre, Venus, Mars och Jupiter väldigt närar varandra. Ser man något längre österut alldeles vid horisonten kan man därtill få syn på Merkurius på samma gång.

Matematiken som nämndes ovan finns här:
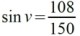
Först nuvarande – och samtidigt den största – vinkel vi ser skilja solen och Venus:
Sinus för en vinkel är alltid den motsatta kateten genom hypotenusan. Hypotenusan är den längsta sidan i en rätvinklig triangel och mitt emot den räta vinkeln.
Arcus sinus ger oss då själva vinkeln. I detta fall 46 grader. Småningom minskar vinkeln i och med att Venus nästa vår kommer att befinna sig på solens motsatta sida från oss sett.
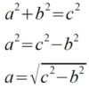
Pythagoras sats är användbar i långt mycket mer än det som oftast syns i matematikböckerna.

4 kommentarer